Lompat ke konten Lompat ke sidebar Lompat ke footer
close

Model Cerere Decontare Naveta Cadre Didactice

Model Cerere Decontare Naveta Cadre Didactice

Decontarea cheltuielilor pentru naveta la și de la locul de muncă se face integral. Pentru a pronunta aceasta solutie, instanta a retinut ca reclamantii sunt cadre didactice la scoala gimnaziala a.p.

Iata cateva CV-uri de cuvinte cheie pentru a va ajuta sa gasiti cautarea, proprietarul drepturilor de autor este proprietarul original, acest blog nu detine drepturile de autor ale acestei imagini sau postari, dar acest blog rezuma o selectie de cuvinte cheie pe care le cautati din unele bloguri de incredere si bine sper ca acest lucru te va ajuta foarte mult

Naveta cadre didactice care este baza legala pentru decontarea navetei cadrelor didactice? Creat la joi, 23 ianuarie 2014 16:24. Abonamentul din luna anterioară nu face obiectul decontării navetei, facilitate prevăzută la art.

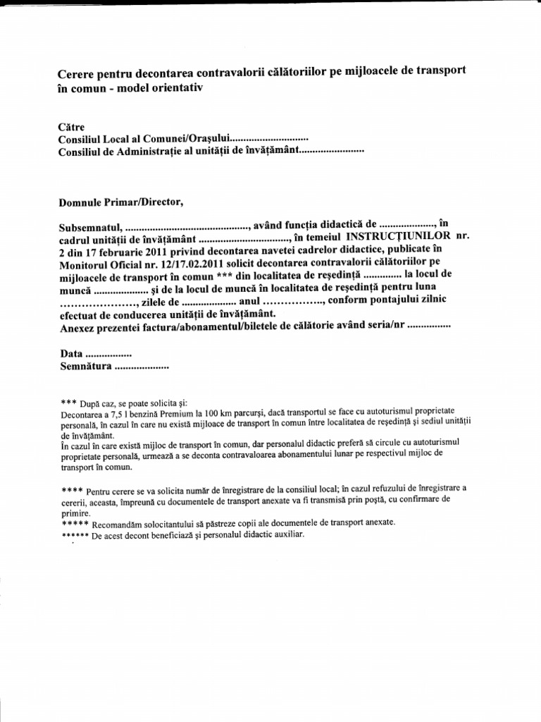
Hg 569 2015 Naveta Cadre Didactice Pdf Document
vizitati articolul complet aici : https://vdocuments.mx/hg-569-2015-naveta-cadre-didactice.html
Apasă pe dacă vrei să descarci model cererea pentru decontarea navetei: — (1) beneficiaza de decontarea cheltuielilor de naveta cadrele didactice si personalul didactic auxiliar, care nu detin locuinta in localitatea unde acestia isi au postul. 14 iunie 2020 by admin.

Beneficiază de decontarea cheltuielilor de navetă cadrele didactice și personalul didactic auxiliar care nu dispun de locuință în localitatea unde își au postul.

Hotărâre privind aprobarea decontării navetei cadrelor didactice din cadrul școlii gimnaziale constantin. Normele privind decontarea cheltuielilor pentru naveta la şi de la locul de muncă a cadrelor didactice şi a personalului didactic auxiliar din învăţământul preuniversitar de stat (h.g. 16 downloads 171 views 29kb size.

Creat la joi, 23 ianuarie 2014 16:24. 569/2015 prin care cadrele didactice navetiste pot obține decontarea cheltuielilor de navetă. Decontarea cheltuielilor pentru naveta la și de la locul de muncă se.

Ce Trebuie Să Facă Elevii Pentru A Beneficia De Transport Gratuit In Timpul Anului școlar Ghid Elaborat De Ministerul Educației Sparknews Ro
vizitati articolul complet aici : http://sparknews.ro/2020/09/19/ce-trebuie-sa-faca-elevii-pentru-a-beneficia-de-transport-gratuit-in-timpul-anului-scolar-ghid-elaborat-de-ministerul-educatiei/
Pentru a pronunta aceasta solutie, instanta a retinut ca reclamantii sunt cadre didactice la scoala gimnaziala a.p. Hotărâre privind aprobarea decontării navetei cadrelor didactice din cadrul școlii gimnaziale constantin. Liviu marian pop despre decontarea navetei cadrelor didactice.

Atunci când transportul mai multor cadre didactice se face cu un singur autoturism, plata se face numai posesorului autoturismului respectiv.

Cadrele didactice au obligația să prezinte lunar instituției de învățământ în care îşi desfășoară activitatea documentele justificative pentru decont însoțite de cererea tipizată pentru decontarea lunară a navetei. Decontare naveta cadre didactice 2019 norme metodologice si. 16 downloads 171 views 29kb size.

(2) cheltuielile cu efectuarea navetei se deconteaza doar atunci cand distanta ce trebuie parcursa zilnic depaseste limita teritoriala. Naveta cadre didactice care este baza legala pentru decontarea navetei cadrelor didactice? Liviu marian pop despre decontarea navetei cadrelor didactice.

Coronavirus In Bavaria Vă Ajutăm Cu Informații In Limba Romană Br24
vizitati articolul complet aici : https://www.br.de/nachrichten/deutschland-welt/coronavirus-in-bavaria-va-ajutam-cu-informatii-in-limba-romana,RvqbhAN
Se poate deconta naveta pentru personalul didactic auxiliar (contabil, secretar). Creat la joi, 23 ianuarie 2014 16:24. Cadrele didactice au obligația să prezinte lunar instituției de învățământ în care își desfășoară activitatea documentele justificative pentru decont însoțite de cererea tipizată pentru decontarea lunară a navetei.

Decontarea cheltuielilor pentru naveta la și de la locul de muncă se.

Decontarea cheltuielilor pentru naveta cadrelor didactice. Abonamentul din luna anterioară nu face obiectul decontării navetei, facilitate prevăzută la art. 3 (1) beneficiază de decontarea cheltuielilor de navetă cadrele didactice şi personalul didactic auxiliar, care nu deţin locuinţă în localitatea unde aceştia îşi au postul.

Posting Komentar untuk "Model Cerere Decontare Naveta Cadre Didactice"